
《数学公式宝典》是一款专为中小学生打造的智能学习助手,致力于让数学学习变得更简单高效。软件汇集了从小学到高中各年级的数学公式,涵盖代数、几何、三角函数等各个领域,每个公式都配有详细的解析说明和应用示例。通过清晰的分类检索和智能推荐系统,学生可以快速找到所需内容,同时软件还提供个性化学习路径规划,帮助用户查漏补缺。无论是课前预习、课后复习还是考前冲刺,这款软件都能成为学生提升数学成绩的得力帮手。
【名师课堂】

同步全国各地教材版本内容,包含人教版,苏教版,鲁教版,浙教版,沪教版,京教版等主流教材,确保教学内容与课堂同步。每节课都由经验丰富的教师精心录制,讲解深入浅出,帮助学生突破重点难点。
【我的课程】
随时随地方便学习,查看已有学习内容和进度。系统会自动记录学习轨迹,生成可视化学习报告,让用户清晰掌握自己的知识掌握情况,便于有针对性地进行复习巩固。
【学习计划】
根据学习进度,学习结果等多维度比较,制定高效学习计划,快速提高数学成绩。智能算法会分析用户薄弱环节,推荐最适合的练习内容,科学安排学习时间,避免无效刷题。
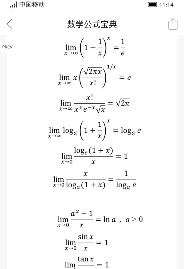
数学公式宝典是拼多多刚刚上线的一款帮助中小学生查阅数学公式定理的app,
给学生们学习数学公式带来了非常多的方便,软件里的数学公式齐全,
有什么类型的公式需要可以直接在这个软件里进行搜索,除了给大家准备了海量的公式外,
还有很多的学习课程给大家,有需要的话来下载数学公式宝典这个软件看看吧!软件界面设计简洁明了,操作简单易上手,即使是低年级学生也能轻松使用,真正做到了让数学学习触手可及。
还有多种不同的数学知识练习模式提供给大家,学生们学习的不会枯燥;包括闯关模式、计时挑战、错题重练等多种趣味练习方式,激发学习兴趣。
更多学习内容都会在这里更新,让孩子们都能轻松学习数学知识。每周都会新增优质教学资源和最新考试真题,保持内容的新鲜度和实用性。
非常多的数学学习公式在这个软件里都可以查询到;从基础公式到竞赛级公式应有尽有,满足不同层次学生的学习需求。
还有多种不同的数学知识练习模式提供给大家,学生们学习的不会枯燥;系统会根据用户的学习表现智能调整题目难度,确保练习效果最大化。
非常多的数学学习公式在这个软件里都可以查询到;支持公式收藏功能,重要公式可以一键保存,方便随时查阅复习。
更多学习内容都会在这里更新,让孩子们都能轻松学习数学知识。新增的AR公式演示功能,让抽象的数学概念变得直观可见,大大提升理解效率。
《数学公式宝典》这是一款可以帮助孩子养成良好习惯的学习辅助应用,软件可以更具个人的学习情况制定对应的学习计划,合理有效的利用课余时间。通过科学的学习方法指导和每日学习提醒,帮助孩子建立持之以恒的学习习惯。
《数学公式宝典》分级和科目多十分齐全,针对不同学生提供不同的需求,因材施教,带来更更高效的学习,而且直播视频还支持无限回放。家长可以通过专属账号随时查看孩子的学习进度和成绩变化,实现家校协同教育。